Congratulations to all Shelby County Livestock Show Participants & Winners!

Way to go JHS Golf!

Congratulations FFA Horse Judging Team!

A Reminder from Joaquin Elementary - Easter Party Information

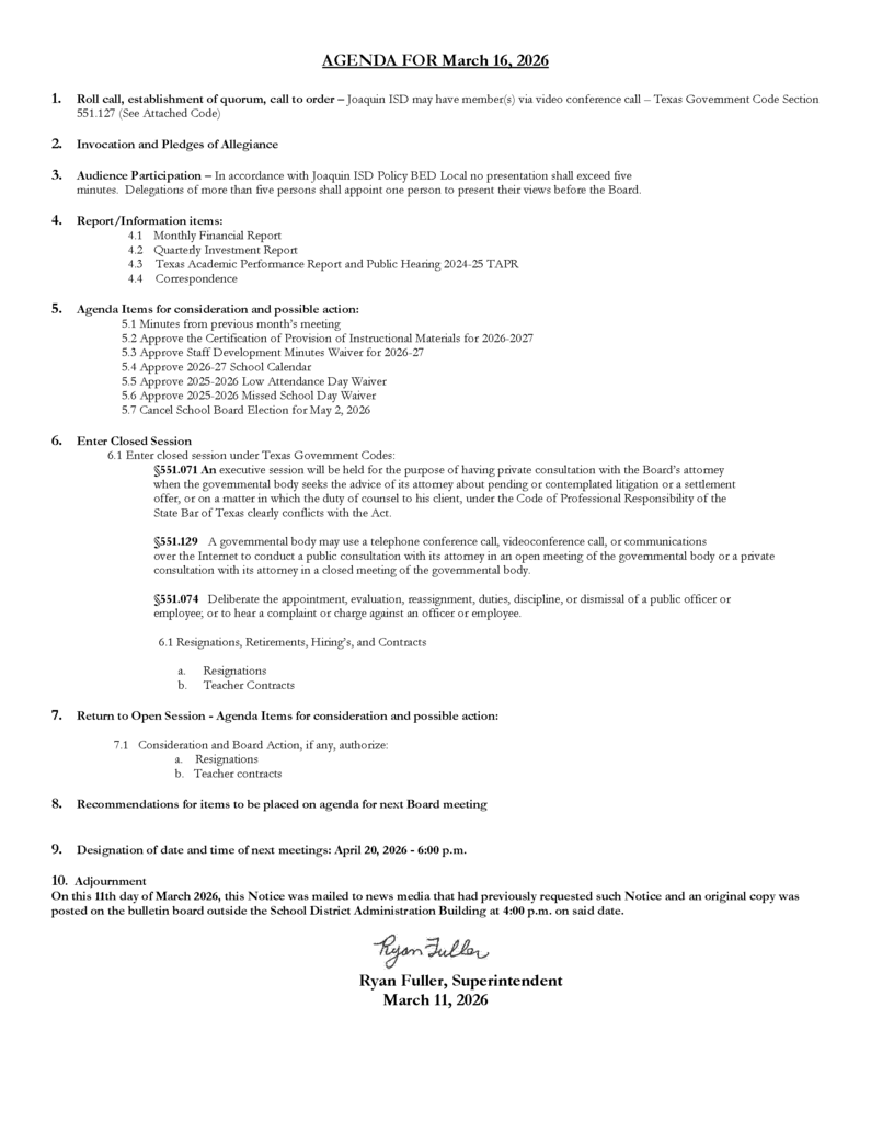
JISD BOARD AGENDA 03/16/2026


Shelby County Livestock Show
Congratulations Stormie, Wyomie & Naomie Meyers
Congratulations Stormie, Wyomie & Naomie Meyers

2026 Shelby County Livestock Show
Grand Champion Market Hog
Congratulations Irelynn!
Grand Champion Market Hog
Congratulations Irelynn!

Congratulations Irelynn Clouse!

Congratulations Stormie Meyers!

Congratulations Lady Rams & Rams Jr. High Track Teams!

Congratulations Lady Rams & Rams Track Teams!

Good Luck Rams Baseball!

Good Luck Lady Rams Softball!

Congratulations Jr. High Track
Wildcat JH Relays at Mt. Enterprise
Wildcat JH Relays at Mt. Enterprise

Joaquin Elementary invites you to our Easter party!

Joaquin Softball Tourney Information/Schedule


Congratulations Rams All- District selections!




The following link can be used to shop our Joaquin Elementary Book Fair online and order books directly for your child. https://i55bookfairs.com/pages/tx208

Good luck Lady Rams!

Baseball Game Update

