Joaquin Elementary
2026 District 23AA UIL Results
On January 13, 2026, Joaquin Elementary students attended Stephen F. Austin State University and competed in Academic UIL competitions. Joaquin Elementary earned 2nd place. The student and team results are as follows. Congratulations to all of our students and coaches.
2026 District 23AA UIL Results
On January 13, 2026, Joaquin Elementary students attended Stephen F. Austin State University and competed in Academic UIL competitions. Joaquin Elementary earned 2nd place. The student and team results are as follows. Congratulations to all of our students and coaches.




Good Luck Lady Rams & Rams!

Congratulations Area Band qualifiers!

GOOD LUCK CHEER!!
It’s finally their turn to go compete!🥳 UIL Spirit week is here and our girls are in
Ft. Worth! They will take the mat at 3:49 pm in the Hall today!
#WeAreJoaquin💙 #RamsUp🐏#LockIn🔒
Follow the link for tickets: https://events.hometownticketing.com/boxoffice/uiltexas/L2VtYmVkL2V2ZW50LzIyMQ==
If you can’t make it in person and would like to watch, you can stream online on the nfhs network here: https://www.nfhsnetwork.com/associations/uil/spirit

Good Luck Jr. High Lady Rams & Rams!

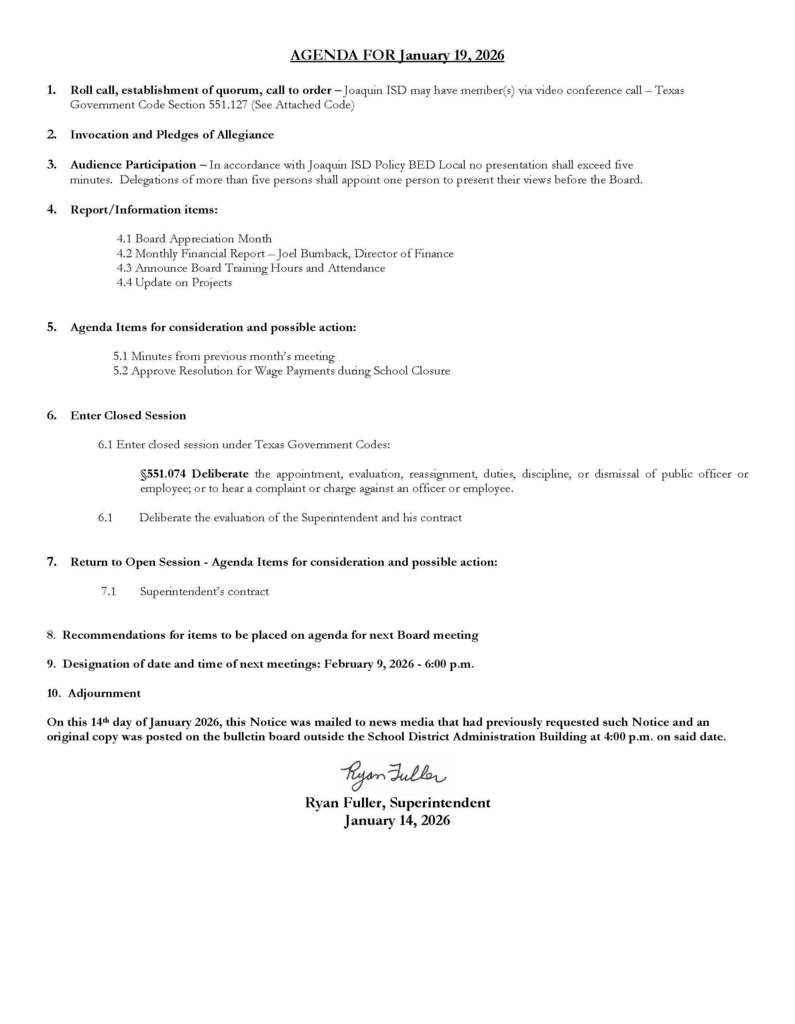
JISD Board Agenda 01/19/26


Congratulations Mrs. Umbrell!

Good Luck Lady Rams & Rams!

Congratulations Ellie Anglin!!
🏀1000 Career Points as a Lady Ram🏀
🏀1000 Career Points as a Lady Ram🏀


Good Luck Lady Rams & Rams!

Congratulations Keaton Hughes!

Attention Seniors & Senior Parents

Congratulations Keaton Hughes!

Congratulations RAMS!

Joaquin ISD is holding a substitute teacher training and orientation on Monday, January 12, 2026 at 10:00 a.m. until approximately 12:00 p.m. The training will be held at the JISD Administration Building located at the scoreboard end of the football field.
If interested please go to the www.joaquinisd.net website and complete the substitute application online.
If interested please go to the www.joaquinisd.net website and complete the substitute application online.

JHS Powerlifting Schedule

Good Luck Lady Rams & Rams Basketball!

2025 ALL DISTRICT PICKS





2025 ALL DISTRICT PICKS




2025 ALL DISTRICT PICKS





